Nerd Athletic
ABOUT
16 June, 2025
strava garmin fit protocol

Did I Just Solve the "Strava Tax" Mystery?

Why Strava sometimes chops off the end of your runs and how Garmin breaks their own protocol
5 MIN READ
3 June, 2025
physiology critical-speed research performance

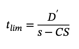
Introducing Critical Speed

A comprehensive introduction to the critical speed model, a powerful tool for runners to understand their physiological limits and optimise their training.
16 MIN READ
29 May, 2025
testing introduction

Hello World!

Welcome to Nerd Athletic's reboot! After a year-long hiatus, I'm returning to dive deep into the science behind running performance.
2 MIN READ

© 2025 Nerd Athletic.

Substack GitHub Strava